合作客戶/
拜耳公司 |
同濟大學 |
聯合大學 |
美國保潔 |
美國強生 |
瑞士羅氏 |
相關新聞Info
-
> 肺內液表面張力的作用、臨床意義及測量方法(三)
> 10種常用表面活性劑水溶液的表面張力測定、泡沫的產生和測試(一)
> 表面張力和接觸角對塑料熔體在微型通道內的流變行為的影響(二)
> 酸化壓裂用助排劑表面張力較低,可有效改善巖心的潤濕性
> 表面張力為25%乙醇溶液作為球磨溶劑,制備MG超細粉替代天然橡膠補強劑
> 新型助排劑配方組分、對表/界面性能的影響及助排效果(一)
> 基于表面張力方法判斷物質(或材料)的親水性(一)
> 變壓器油水含量降至12ppm,柴油產品可轉化為變壓器油基礎油
> Na2CO3溶液與模擬油反應不同時間后產物的界面張力、剪切黏度(二)
> 中性聚合物鍵合劑(NPBA)與奧克托今(HMX)界面張力測定及應用效果(三)
推薦新聞Info
聯結基對磺酸鹽型雙子表面活性劑界面行為及泡沫穩定性的作用機制(一)
來源:石油學報(石油加工) 瀏覽 111 次 發布時間:2026-01-21
摘要:
合成了一系列具有支狀疏水鏈的新型磺酸鹽型雙子表面活性劑D2C(D為疏水基仲辛基,C為聯結基中亞甲基,n=2,4,6,8),考察了聯結基對其表面活性的影響。結果表明,D2C系列雙子表面活性劑溶液的臨界表面張力 γCMC 與臨界膠束濃度CMC值均隨聯結基長度的增加而增大;遼河原油加入D2C系列雙子表面活性劑溶液后的油-水界面張力隨著聯結基團長度的增加先增加后降低。D2C系列雙子表面活性劑具有良好的泡沫性能,隨著聯結基長度的增加,初始起泡體積降低,泡沫半衰期先增加后降低;隨著溫度的增加,泡沫半衰期顯著下降,初始起泡體積先增加后降低。
雙子表面活性劑是通過聯結基將2個傳統表面活性劑分子在其親水頭基或接近親水頭基處連接在一起而形成的一類新型表面活性劑。因其特殊的分子結構,雙子表面活性劑在表面活性、起泡性、乳化能力及潤濕性等方面大大優于傳統表面活性劑,因而受到廣泛的關注。
聯結基對雙子表面活性劑性能具有明顯的影響。陳志等研究了聯結基對帶有直鏈疏水基的陽離子季銨鹽型表面活性劑表面活性的影響,得出聯接基團越短,CMC值和 γCMC 值越低的結論。聯結基的性質影響表面活性劑的水溶性。將柔性的聯結基用等長的剛性聯結基取代時,表面活性劑Krafft點升高5;將疏水聯結基用親水聯結基取代時,Krafft點降低。聯結基的位置對表面活性劑的表面活性也有影響。Zana認為,聯結基只有連接在頭基或其附近時才能使表面活性劑有效地降低表面張力和具有較高的表面活性。聯結基的結構可以影響雙子表面活性劑在氣-液界面的排列,進而影響其表面活性。聯結基的變化對泡沫穩定性及潤濕性也有顯著的影響。 Zhu等的研究表明,當 [C10H21CH2CH(OC3H6SO3Na)CH2]2Y 中的聯結基 Y的單位基團為乙氧基時,隨著聯結基長度增加,初始起性。聯結基的變化對泡沫穩定性及潤濕性也有顯
烏永兵等介紹的具有帶支鏈疏水基的磺酸鹽型雙子表面活性劑,其疏水基的支化度不高,且對聯結基的影響未有系統的闡述。筆者合成了一系列具有高支化度疏水基、不同聯結基長度的新型磺酸鹽型雙子表面活性劑 D2Cn (D為疏水基仲辛基,C為聯結基中的亞甲基, n為 2,4,6,8),研究了其水溶液的表面活性、界面活性及泡沫性能,討論了聯結基對其界面張力和起泡性能的影響。
1 實驗部分
1.1 儀器與試劑
江蘇省金壇市醫療儀器廠 JJ-1增力攪拌器;上海市實驗儀器總廠 101A-1E型紅外干燥烘箱;山東龍口市先科儀器廠電熱恒溫油浴鍋;淄博科森儀器公司 ZL-2型自動界面張力儀;上海精密科學儀器有限公司DDS-11D型電導率儀;德國布魯克儀器公司 Vector-33型紅外光譜儀;上海亞榮生化儀器廠RE-52AA旋轉蒸發儀;美國 TEXAS儀器公司TEXAS-500旋滴界面張力儀;無錫市石油儀器設備有限公司 HT-II型自動混調器,瑞士 Bruker公司Avance 500 MHz核磁共振儀。
1,2-二溴乙烷、 1,4-二溴丁烷、 1,6-二溴已烷、1,8-二溴辛烷、十二烷基硫酸鈉(SDS)和十二烷基苯磺酸鈉(SDBS)均為 CP級試劑,十六烷基三甲基溴化銨、NaOH和二氯甲烷均為 AR級試劑,國藥集團化學試劑有限公司產品;氯磺酸, GR級試劑,上海金山亭新化工試劑廠產品;對特辛基酚,工業級,上海晶純試劑有限公司產品;石油磺酸鹽(PS),工業級,勝利油田; α-烯烴磺酸鹽(AOS),工業級,市售。
1.2 雙子表面活性劑的合成與表征
1.2.1 合成方法
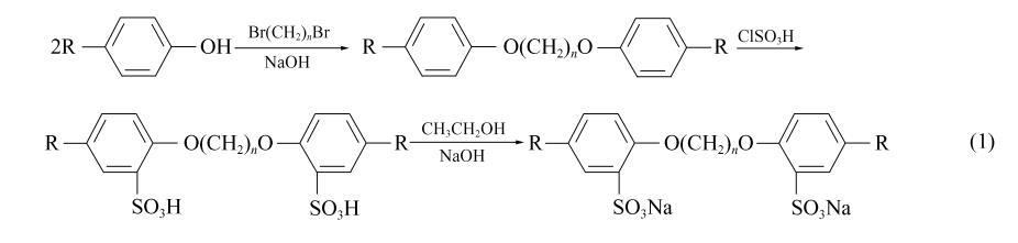
雙子表面活性劑的反應方程式如式(1)所示。
式(1)中,疏水基 R基團為 (CH3)3CCH2C(CH3)2 ;聯結基為 -O(CH2)nO-n 為2,4,6,8。所得產物記為 D2Cn 系列。
(1)雙醚中間體的合成(雙醚反應)
將0.101mol對特辛基酚置于裝有機械攪拌、回流冷凝管的三口燒瓶中,加入2mL乙醇、2.00g十六烷基三甲基溴化銨和質量分數為20% NaOH水溶液 100mL,攪拌并加熱至 75°C ,另取0.05mol二溴代烷加入反應體系,繼續加熱至 100°C ,反應 4h。待體系冷卻后,向其中多次加入乙醚進行萃取,萃取液用水洗滌至中性,用無水硫酸鎂干燥過夜,過濾,然后用旋轉蒸發儀蒸發除去溶劑,得到雙醚中間體。
(2)鈉鹽型雙子表面活性劑的合成(磺化及中和反應)
將雙醚中間體置于裝有氯化氫吸收裝置的三口燒瓶中,加入50mL無水二氯甲烷,磁力攪拌。按氯磺酸與雙醚中間體摩爾比為2.02:1的比例將氯磺酸溶于30mL無水二氯甲烷中,在室溫下1h內滴入反應體系,繼續反應8h。用NaOH的乙醇溶液中和,蒸干溶劑,用丙酮洗滌產物,過濾得含鹽粗產物,用乙醇進行重結晶,得白色粉末產品即為磺酸鹽型雙子表面活性劑D2C。產物D2C2、D2C4、D2C6、D2C8 的總收率分別為 55.9%、 43.7%、47.6%、49.8%。





